القومي للبحوث الفلكية يكتشف نجمًا متغيرًا جديدًا
تلقى الدكتور خالد عبدالغفار، وزير التعليم العالي والبحث العلمي، تقريرًا مقدمًا من الدكتور جاد القاضي رئيس المعهد القومي للبحوث الفلكية والجيوفيزيقية، حول اكتشاف فريق بحثي تابع لمعمل الفلك النجمي بقسم الفلك بالمعهد، نجم مُتغير جديد.
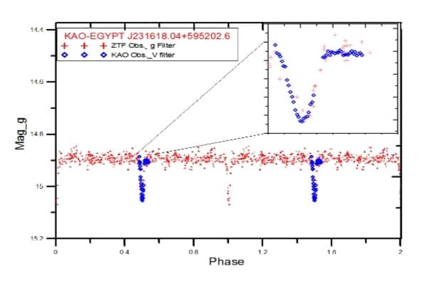
وأفاد التقرير بأن الاكتشاف اعتمد على الأرصاد الفوتومترية من مِنظار مرصد القطامية الفلكي، والذي يبلغ قطر مرآته 1.8 متر، ويعُد أكبر تلسكوب في الشرق الأوسط وشمال إفريقيا، حيث بدء عام 1954.

وأشار التقرير إلى تمكن الفريق البحثى من تحليل الأرصاد الفوتومترية، واكتشاف تغير النجم من خلال أرصاد مرصد القطامية ودعمها بالبيانات الأخرى، ثم حدد الفريق نوع تغير النجم وتصنيفه على أنه من النجوم الثنائية المُتغيرة، التي لا تُرى إلا كنقطة واحدة، وبعد دراسة وتحليل مُنحنى الضوء الخاص به، تبين أنه نظام مزدوج من النوع Algol وهو مُكون من نجمين يدور كل منهما حول مركز ثقلهم المشترك، هذا بالإضافة إلى حساب دورته التي بلغت حوالي 4 أيام و6 ساعات، وهي السابقة الأولى لباحثين مصريين في تسجيل مثل هذا النوع من الأنظمة الثنائية، وقد تم تسجيل الاكتشاف بالموقع الدولي للرابطة الأمريكية لراصدي النجوم المُتغيرة AAVSO وهي الجهة الدولية المنوط بها تسجيل واعتماد الاكتشافات العلمية للنجوم المُتغيرة.

البحوث الفلكية: ارتفاع عدد النجوم المكتشفه من مصر إلى 11 نجمًا
وأضاف التقرير أنه بهذا الاكتشاف يرتفع عدد النجوم المُكتشفة حديثًا، والمُسجلة باسم مصر ومرصد القطامية الفلكى إلى أحد عشر نجمًا تبدأ كلها باسم KAO-EGYPT؛ الأمر الذي يُعزز من مكانة مصر الدولية في بحوث واستكشاف الفضاء، حيث يُساهم هذا الاكتشاف في إضافة قيم وبيانات جديدة بقواعد البيانات الدولية.
وأوضح التقرير أن أهمية اكتشاف مثل هذه النجوم ودراستها إلى كونها تُمثل أكثر من 80% من النجوم بالكون، كما أنها تلعب دورًا هامًا فى مجال الفيزياء الفلكية لأنها تُعطي فرصة فريدة وغير مسبوقة لمعايرة النجوم المُنفردة من حيث الكتلة والحجم والخصائص الكيميائية، وهى تمثل مرحلة من مراحل تطور النجوم مما يُتيح فهم ودراسة تطور الكون بشكل عام ونظامنا الشمسي بشكل خاص، وهى محل اهتمام الباحثين في مجال الفيزياء الفلكية واستكشاف الفضاء في جميع انحاء العالم.
وسيُضاف هذا النظام المزدوج إلى القائمة الموجودة وبالتالي سيتم دراسته تفصيليًا لتعيين عناصر المدار بالإضافة الى تحديد خصائصه الفيزيائية والكميائية بواسطة الفريق البحثي.
الجدير بالذكر أن الفريق البحثي مُكون من، الدكتور محمد سعيد درويش، والدكتور سمية سعد، والدكتور محمد عبدالصبور، والدكتور أحمد شكري، والدكتور إبراهيم زيد، والباحث المساعد ومحمد الدبسي.
ومن ناحية أخرى، يقوم المعهد أيضًا باستكمال الإجراءات لعملية إنشاء المرصد الفلكي المصري الكبير، والذى تم اختيار أحد جبال جنوب سيناء ليكون مقرًا له، ويكون نواه للمدينة الفلكية المصرية.


