محافظ الإسكندرية يعتمد تعريفة الركوب الجديدة وغرامة 500 جنيه للمخالفين
اعتمدت محافظة الإسكندرية، تعريفة الركوب الجديدة لسيارات الأجرة لوسائل النقل الداخلية والخارجية والنقل العام بالمحافظة والمقدمة من مشروع محطات الركاب والانتظار ويتم تطبيقها بدء من تاريخ الاعتماد طبقا للجداول المرفقة، وذلك تنفيذًا لتوجيهات اللواء هشام آمنة وزير التنمية المحلية، في ضوء قرار لجنة التسعير التلقائي لأسعار المنتجات البترولية بوزارة البترول وتحريك الأسعار لبعض المنتجات اعتبارا من مساء أمس الأربعاء.
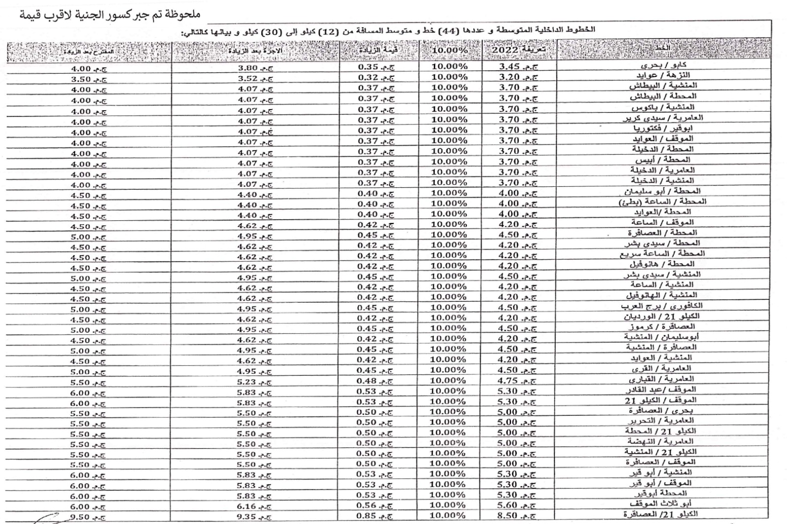
اعتماد تعريفة الركوب الجديدة بالإسكندرية
وأوضح اللواء محمد الشريف محافظ الإسكندرية، أن اللجنة التي تم تشكيلها لتعديل التعريفات وضعت في اعتبارها مسافة كل خط سير وعدد الرحلات تحقيقًا للعدالة، مشيرًا إلى أن النسبة لأوتوبيسات وسيارات ووسائل النقل العام فإن الزيادة المقررة لا تتعدى نسبة 10%، على أن يتم إعلان التعريفات الجديدة وتعليقها بكافة المواقف وبصورة واضحة.
غرامة 500 جنيه للمخالفين
كما قرر محافظ الإسكندرية فرض غرامة 500 جنيه على جميع المخالفين لتطبيق التعريفة الجديدة في المواقف بمختلف أنواعها، وذلك لضمان الالتزام وعدم رفع السعر عن المُقرر.
وأشار إلى أنه تم تنسيق تعريفات خطوط السير لسيارات السرفيس الخارجية (الأقاليم) مع المحافظات المجاورة وغيرها من المحافظات التي ترتبط مع محافظة الإسكندرية بخطوط سير لسيارات الأقاليم لضمان توحيد التعريفة.
ووجه محافظ الإسكندرية إدارة مشروع محطات الركاب والانتظار، بالالتزام بنشر التعريفة الجديدة بالمواقف والمحطات المختلفة وتعليقها في مكان ظاهر، وإلزام سائق النقل بعمل ملصقات بالتعريفة الجديدة لكل خط سير.





وشدد على أنه تم التنسيق بين المحافظات المختلفة والمجاورة لمحافظة الإسكندرية على توحيد السعر بينها، وكذلك تأكيد وضع الملصق الخاص بسيارات السرفيس والنقل الجماعي والمتضمن خط السير والأجرة المقررة وفقًا للزيادات الجديدة لعدم زيادة قائدي السيارات لـ تعريفة الركوب بصورة منفردة أو تقسيم خطوط السير.
وكلف محافظ الإسكندرية الأجهزة المعنية من مباحث المرور ورؤساء الأحياء وإدارة المواقف والهيئة العامة لنقل الركاب بالإسكندرية، ومسئولي التموين، بالرقابة على مدار الساعة للتأكد من التزام سائقي وسائل المواصلات المختلفة بالتعريفة الجديدة واتخاذ كافة الإجراءات القانونية ضد المخالفين، مشددًا على الحسم في تطبيق التسعيرة الجديدة التي تم اعتمادها ومتابعة مواقف المحافظة للتأكد من عدم استغلال المواطنين.


