هاينز ترفع أسعار الكاتشب والمايونيز والصوص| قائمة كاملة
أقرت شركة هاينز، المصنعة لعدد من أصناف الكاتشب والمايونيز والصوص، زيادة في أسعار منتجاتها تطبق خلال ديسمبر الحالي، في زيادة نادرة، منذ آخر عملية رفع في ديسمبر 2022
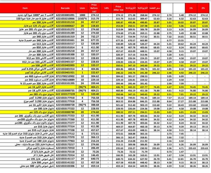
ورفعت شركة هاينز، سعر كاتشب هاينز حار وزن عبوة 150 جرام إلى 52 جنيهًا، ضمن سلسلة زيادة جديدة في أسعار كاتشب هاينز بالاضافة إلى المايونيز والصوص وغيرها من المنتجات الجديدة، بالتزامن مع ارتفاعات كبيرة في أسعار المواد الغذائية.
أسعار كاتشب هاينز
ورفعت هاينز سعر العبوة من الكاتشب وزن 200 جرام نحو 21 جنيهًا، وسجل أسعار كاتشب هاينز نوع دوي باك وزن 285 جرام نحو 125 جرام نحو 13 جنيهًا.
وارتفع سعر العبوة دوي باك وزن 285 جرام إلى 28 جنيها، كما ارتفع العبوة 340 جرام إلى 31 جنيهًا، وسجلت العبوة وزن 530 جرام حوالي 45 جنيهًا، وسجل كاتشب حجم 850 جرام حوالي 69 جنيهًا.
ورفعت الشركة سعر خل هاينز وزن 1 لتر إلى حوالي 12 جنيهًا، وسجلت أسعار شيلي صوص 300 جرام هاينز نحو 38 جنيهًا والعبوة وزن 195 جرام حوالي 27 جنيهًا.



