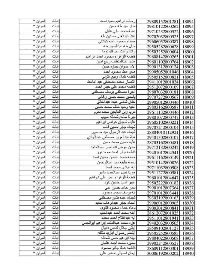
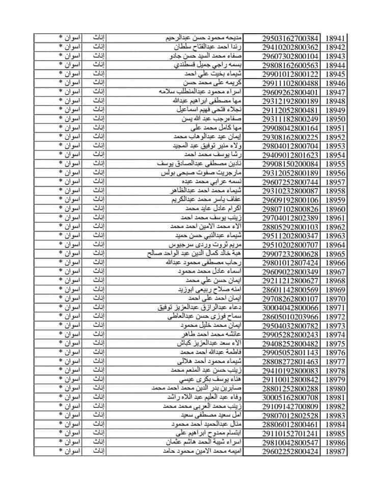
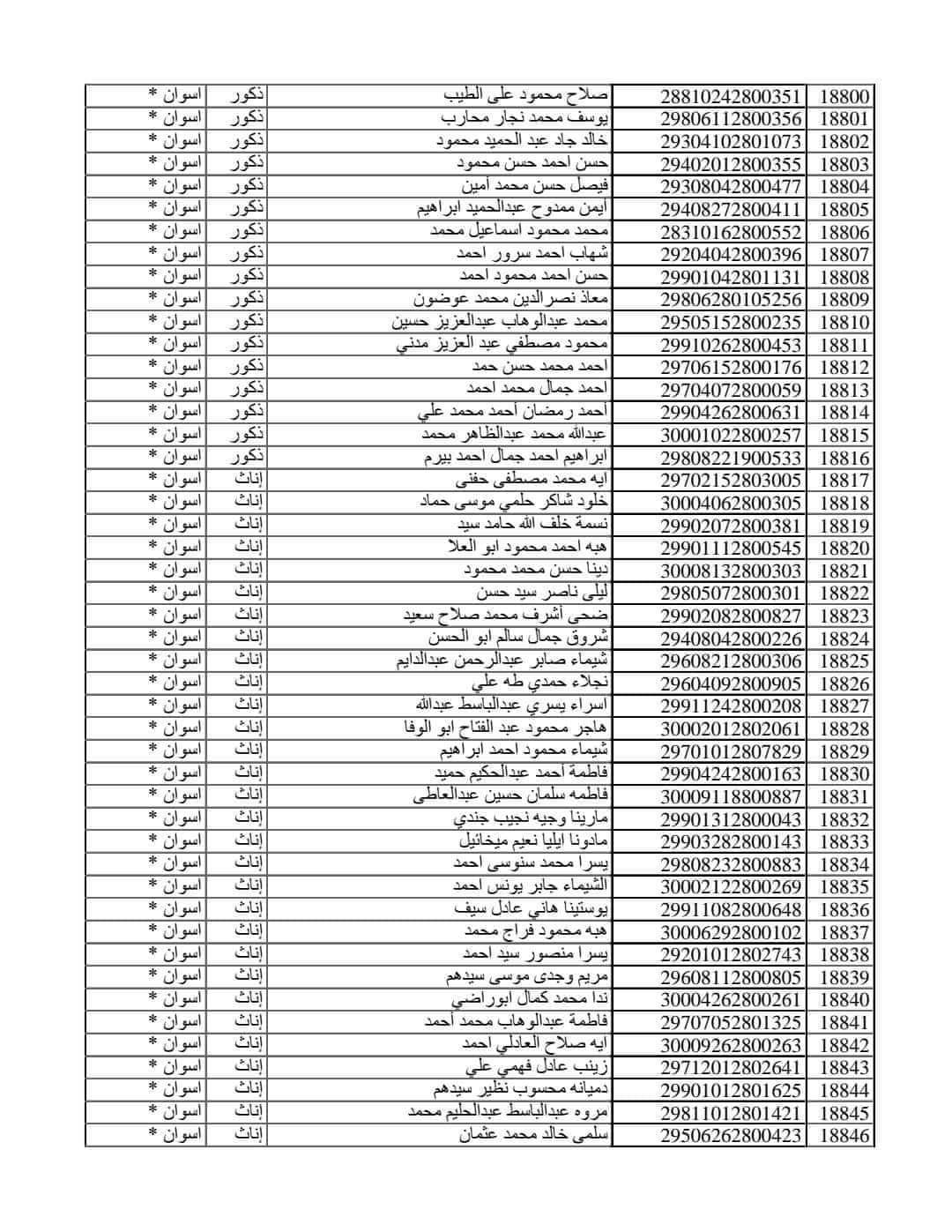
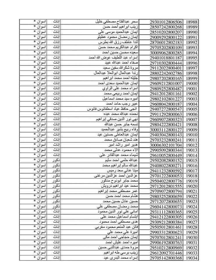
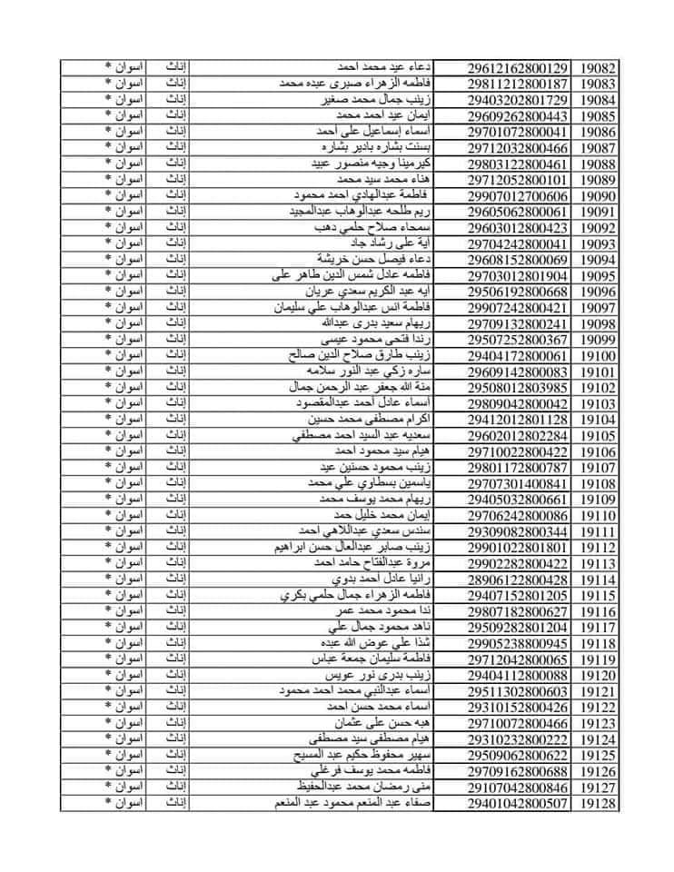
ننشر أسماء المقبولين في الدفعة الثانية لمسابقة 30 ألف معلم بأسوان
محافظات
مديرية التربية والتعليم بأسوان
الخميس 05/سبتمبر/2024 - 09:53 م
حصلت القاهرة 24 على أسماء المعلمين الناجحين في مسابقة 30 ألف معلم بمحافظة أسوان من الدفعة الثانية والمتظلمين من الدفعة الأولى.
ننشر أسماء المقبولين في الدفعة الثانية لمسابقة 30 ألف معلم بأسوان
وأعلنت مديرية التربية والتعليم بمحافظة أسوان عبر صفحتها الرسمية على الفيس بوك أنه سوف يتم الإعلان غدًا عبر بوابة أسوان التعليمية عن الرابط الإلكتروني وذلك لاستكمال البيانات لإتمام إجراء التعاقد.












