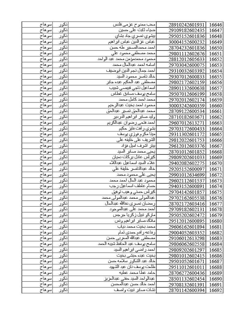
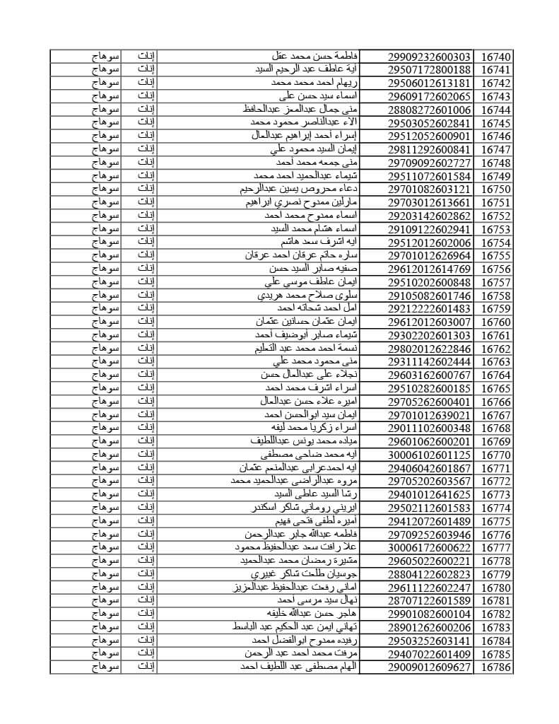
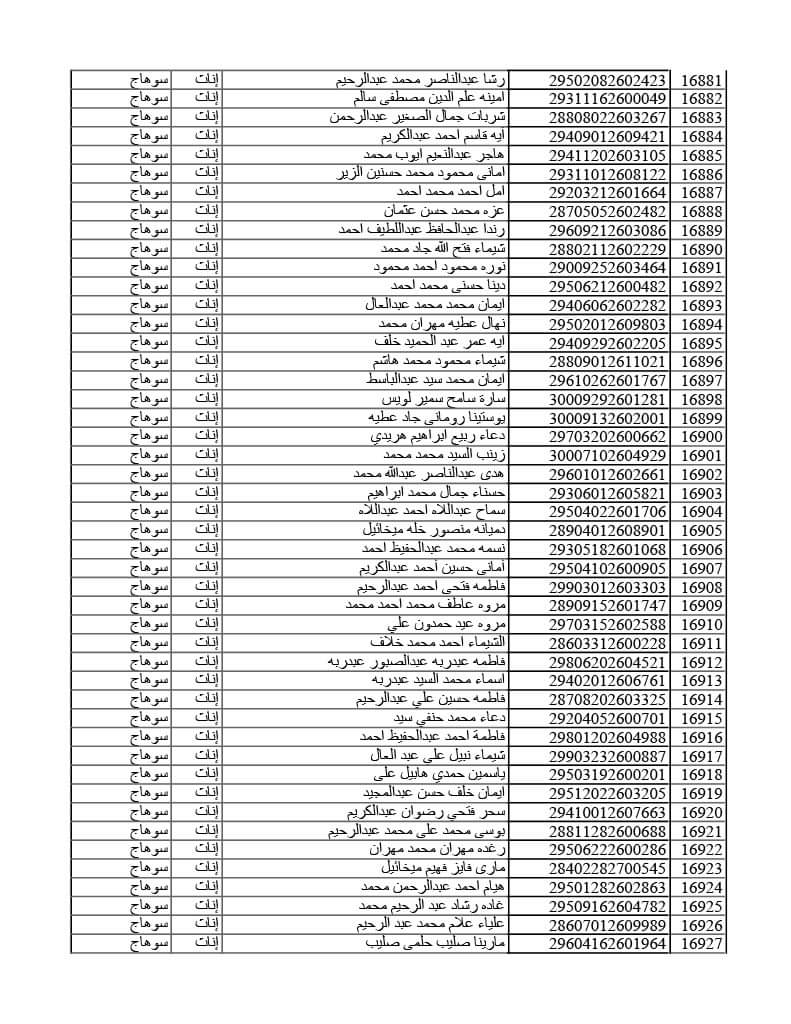
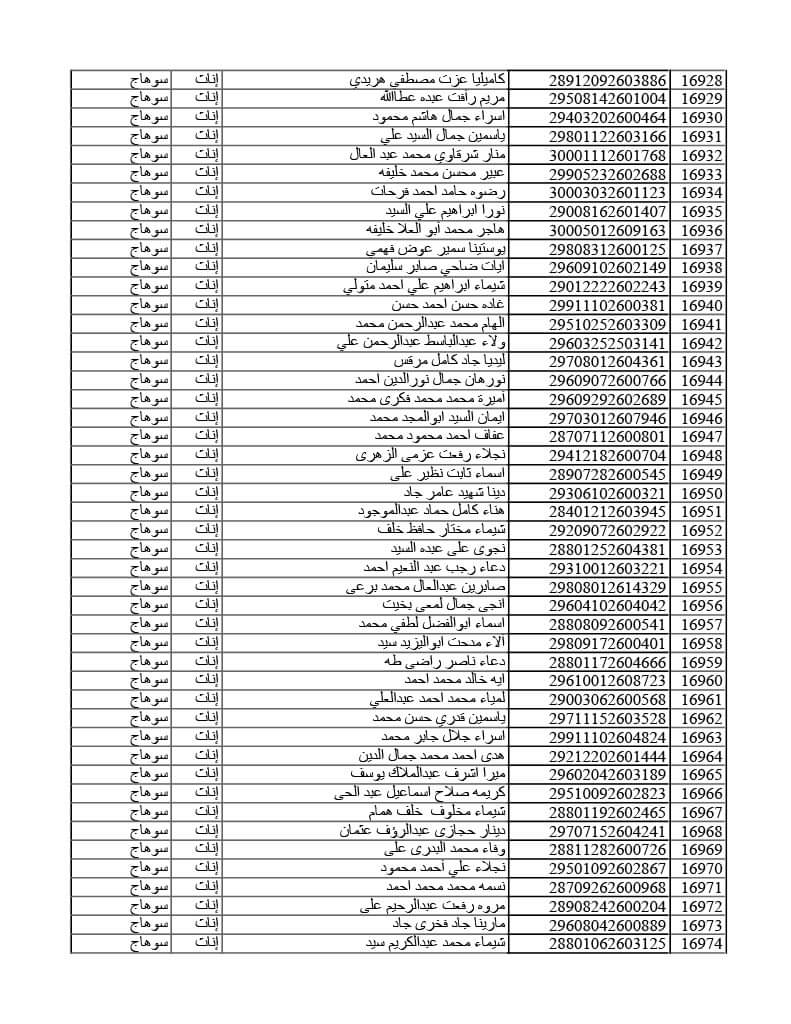
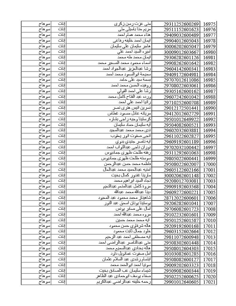
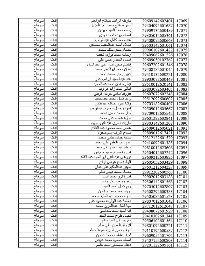
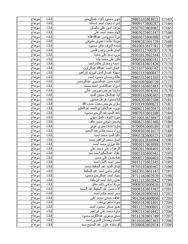
ننشر كشوف أسماء الناجحين في مسابقة الـ 30 ألف معلم بسوهاج
محافظات
تعليم سوهاج
الجمعة 06/سبتمبر/2024 - 12:18 ص
أعلنت مديرية التربية والتعليم بمحافظة سوهاج، منذ قليل، كشوف المقبولين في مسابقة 30 ألف معلم، من الدفعة الثانية والمتظلمين من الدفعة الأولى.
كشوف المقبولين في مسابقة 30 ألف معلم بسوهاج
وكانت وزارة التربية والتعليم، أعلنت في تصريحات سابقة أن هذه الخطوة تأتي في إطار حرص الدولة على توفير كوادر تعليمية مؤهلة قادرة على تقديم أفضل الخدمات التعليمية للطلاب، وتلبية احتياجات سوق العمل المتزايدة.
وجاءت أسماء المقبولين طبقا للكشوف المعلن عنها كالتالي:

















