تعرف على مكاتب البريد المتوفر بها كراسات الشروط 2024
نقدم مكاتب البريد التي يوجد بها كراسات الشروط 2024، إذ بدأت مكاتب البريد المميكنة في مختلف المحافظات والمدن الجديدة، اليوم الثلاثاء، طرح كراسات شروط الإعلان الخامس لمبادرة سكن لكل المصريين، وتستمر العملية حتى نهاية الشهر المقبل، المبادرة تهدف إلى توفير وحدات سكنية متنوعة تناسب مختلف الفئات الاجتماعية والاقتصادية.
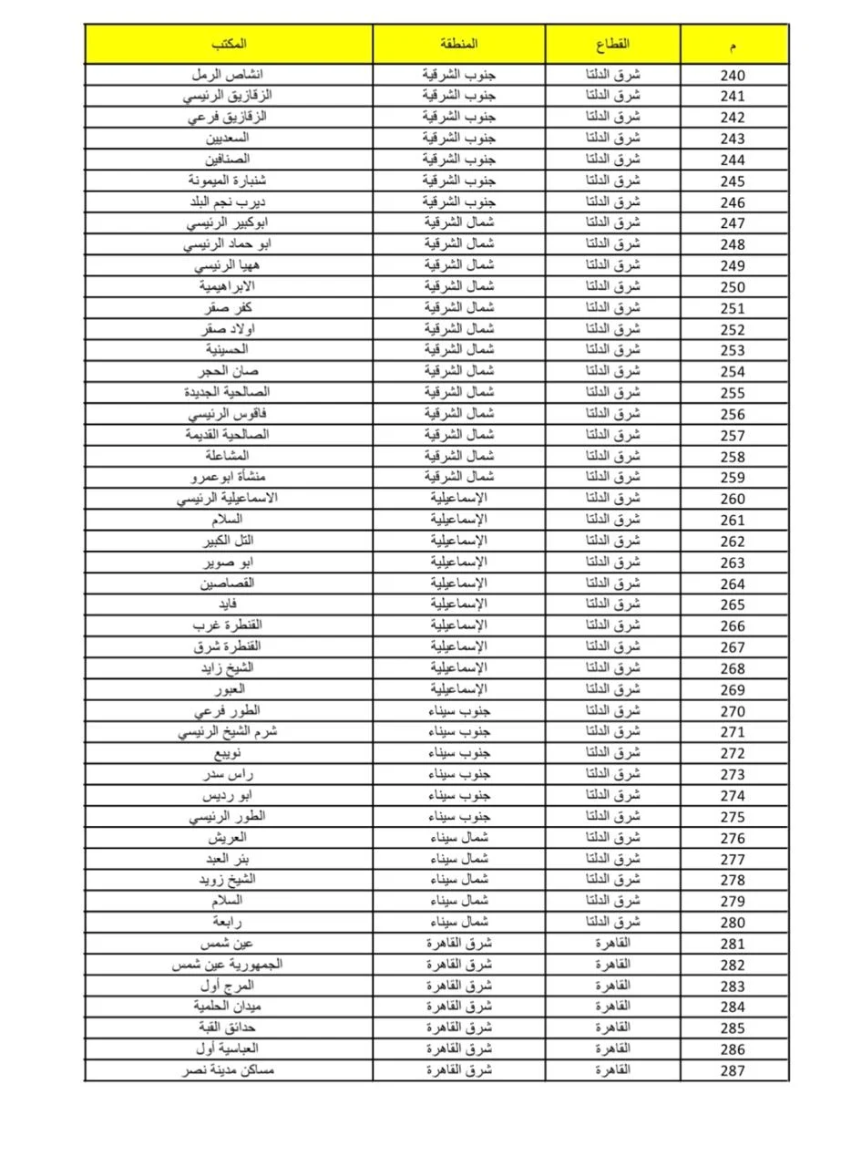
مكاتب البريد المتوفر بها كراسات الشروط 2024
ويمكن للمواطنين معرفة مكاتب البريد التي يوجد بها كراسات الشروط 2024، من خلال الدخول على موقع البريد المصري اضغط هنــــــــــــــــا، وكتابة اسم المنطقة والمحافظة، ومن ثم سيظهر أمامك المكاتب البريد التي يوجد بها كراسة الشروط، علما أنه ستكون متوافرة ولا داعٍ للازدحام أمام المكاتب البريد، كما أن سعرها شامل الضريبة 355 جنيها.






كراسة شروط سكن لكل المصريين 5
وتتضمن كراسة شروط سكن لكل المصريين 5، كل التفاصيل حول التقسيط ونظام دفع الأقساط، وأيضا الوحدة السكنية، علما أن المبادرة تتضمن 78 ألفا و730 وحدة سكنية موزعة كالآتي:
- وحدات تحت الإنشاء بمساحة 90 مترًا: 40.607 وحدات.
- وحدات تحت الإنشاء بمساحة 75 مترًا: 1.175 وحدة.
- وحدات جاهزة للتسليم الفوري بمساحة 90 مترًا: 11.920 وحدة.
- وحدات جاهزة للتسليم الفوري بمساحة 75 مترًا: 1.070 وحدة.
- وحدات بالمحافظات جاهزة بمساحة 75 مترًا: 608 وحدات.
- وحدات بالمحافظات جاهزة بمساحة 90 مترًا: 23.350 وحدة.
علما أن صندوق الإسكان الاجتماعي خصص 5% من إجمالي الوحدات المطروحة للمواطنين من ذوي الهمم، في إطار حرص الدولة على دعم هذه الفئة وتوفير حياة كريمة لها.

شروط التخصيص لذوي الهمم في مبادرة سكن لكل المصريين 5
وحول شروط التخصيص لذوي الهمم في مبادرة سكن لكل المصريين 5، فإنه يجب على المتقدم تقديم مستندات طبية تثبت درجة الإعاقة، مع إرفاق ما يلي:
- إرفاق بطاقة إثبات الإعاقة والخدمات المتكاملة، على أن تكون سارية خلال عام 2024.
- تشمل التخصيص: الأسر صاحب الطلب، الزوج أو الزوجة، الأبناء القصر.
حجز شقق وزارة الإسكان
وعن حجز شقق وزارة الإسكان، فإن الحد الأدنى لصافي الدخل الشهري: 3.500 جنيه، بينما الحد الأقصى لصافي الدخل الشهري للأسرة: 15.000 جنيه، و12.000 جنيه للفرد، أما إذا كنت ضمن متوسطي الدخل، فإن الحد الأدنى لصافي الدخل الشهري: 12.000 جنيه، والحد الأقصى لصافي الدخل الشهري للأسرة: 25.000 جنيه، و20.000 جنيه للفرد.
فإن الإعلان الجديد يمثل فرصة كبيرة للراغبين في امتلاك وحدات سكنية مناسبة بأسعار مدعومة، مع توفير تسهيلات في السداد عبر نظام التمويل العقاري.


