اتحاد الكرة يحدد موعد قرعة الدور التمهيدي لبطولة كأس مصر | مستندات
رياضة
اتحاد الكرة
الخميس 11/سبتمبر/2025 - 03:41 م
حددت إدارة المسابقات بـ الاتحاد المصري لكرة القدم موعد قرعة الدور التمهيدي لمسابقة كأس مصر لموسم 2025 - 2026، وهو الدور الذي تشارك فيه أندية الأقسام الثاني “أ” و“ب”، بجانب أندية القسمين الثالث والرابع.
موعد قرعة الدور التمهيدي لكأس مصر
وبحسب الخطاب المرسل من اتحاد الكرة اليوم للأندية تحدد يوم الأحد المقبل الموافق 14 سبتمبر موعدًا لقرعة الدور التمهيدي لكأس مصر، وستقام مراسم القرعة بمقر اتحاد الكرة بالجزيرة.
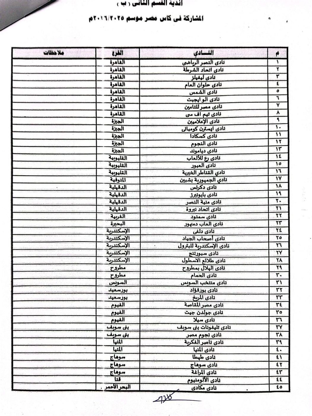
وطالب اتحاد الكرة الأندية المشاركة في الدور التمهيدي لكأس مصر بإيفاد مندوبيها لحضور مراسم القرعة، علمًا أن الدور التمهيدي يشهد مشاركة 17 ناديًا من أندية القسم الثاني “أ” (دوري المحترفين)، و45 ناديًا من أندية القسم الثاني “ب”، بجانب 26 ناديًا من أندية القسمين الثالث والرابع.













