بعد طرح كراسة الشروط.. أسعار وحدات مشروع عصفور الجنة كاملة التشطيب بـ 6 أكتوبر
طرح اليوم الجهاز المركزي للتعمير كراسة شروط مشروع عصفور الجنة، لحجز عدد 127 وحدة سكنية بمدينة 6 أكتوبر.
وحدد المركزي للتعمير قيمة كراسة شروط مشروع عصفور الجنة نظير سداد مبلغ 305 جنيها، من خلال عنوان الجهاز وتحديدا بالمجتمع السكنى الجديد غرب الأوتوستراد بجوار مساكن أطلس (المشروع الأمريكي) بحلوان، اعتبارا من اليوم الأحد الموافق 24/7/2022، علي أن تكون المعاينة يوميًا عدا يوم الجمعة بموقع المشروع بمدينة 6 أكتوبر.
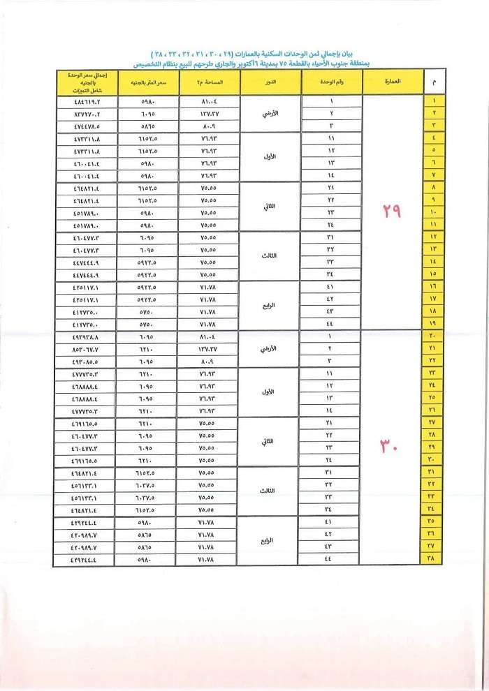
وكان الجهاز المركزي للتعمير أعلن عن بيع 127 وحدة سكنية جاهزة للاستلام وكاملة التشطيبات بمشروع عصفور الجنة.
وتقع الوحدات المطروحة بالقطعة رقم 75 جنوب الأحياء بمدينة السادس من أكتوبر، والتي يبدأ الحجز بها رسميًا اعتبـارًا مـن 31/7/2022.
شروط التخصيص
1- يتم سداد 10% كجدية حجز لوحدات عصفور الجنة عند التقدم بطلب الحصول على الوحدة السكنية.
2- يتم سداد دفعة تخصيص 15٪ خلال أسبوع من سداد جدية الحجز.
3 - يتم سداد دفعة استلام 25٪ خلال شهرين من سداد جدية الحجز.
4 - الـ 50% المتبقية يمكن تقسيطها على أقساط شهرية لمدة (5 سنوات / 10 سنوات / 15 سنة) وفقا لإمكانيات ورغبة العميل بفائدة تعادل 7% سنويا.
5- يتم منح العميل خصم 3% في حالة السداد الفوري.
طرح مرحلة جديدة من سكن لكل المصريين
وفي سياق آخر، يجهز صندوق الإسكان الاجتماعي ودعم التمويل العقاري، لطرح مرحلة جديدة من وحدات سكن لكل المصريين، والمقرر لها خلال الفترة القريبة المقبلة، ويتضمن الطرح الجديد وحدات سكنية مختلفة المساحات وتصل لـ 90 مترًا مربعًا، وجاهزة للتسليم الفوري.

ويتضمن الطرح وحدات بالصعيد والوجه البحري، حيث تتراوح أسعار الوحدات المقرر طرحها 207 آلاف جنيه لوحدات الوجه البحري، و194 ألف جنيه لوحدات الوجه القبلي، بدون حصة في الأرض، بخلاف مبلغ الصيانة بنسبة 5% من سعر البيع لا ترد ولا تسترد.



تأتي جميع وحدات سكن لكل المصريين طرحها ضمن مبادرة البنك المركزي الجدية للتمويل العقاري، بعائد 3% لمدة 30 عاما، والتي بدأ تطبيقها منذ 13 يوليو 2021.


