نماذج أسئلة امتحان التفاضل والتكامل 2024
توقعات أسئلة امتحانات الثانوية العامة في مادة التفاضل والتكامل علمي رياضة pdf 2024
ارتفعت معدلات البحث من قبل طلاب الشعبة العلمية عن توقعات أسئلة امتحانات الثانوية العامة في مادة التفاضل والتكامل علمي رياضة، حيث يهتم الطلاب بحل العديد من النماذج في الأوقات الحالية قبل أيام من بداية الامتحانات، والتي يجب على الطالب أن يكون مستعدا لخوض الاختبارات من خلال التدريب على عدد من النماذج الامتحانية طوال العام لحصد أعلى الدرجات.
ويوفر موقع القاهرة 24 توقعات أسئلة امتحانات الثانوية العامة في مادة التفاضل والتكامل علمي رياضة، لكي تساعد الطالب في حل الامتحانات النهائي، حيث يعد حل الأسئلة هو وسيلة المتفوقين للحصول على أعلى الدرجات في هذه السنة الدراسية، التي تحدد مصيره في الحياة العملية.
توقعات أسئلة امتحانات الثانوية العامة مادة التفاضل والتكامل
يستغل طلاب شعبة الرياضية هذه الفترة في حل العديد من امتحانات مادة التفاضل والتكامل، حتى يطمأنوا على تحصيل كافة أجزاء المنهج، فهذه الفترة هي الفرصة الأخيرة لطلاب الثانوية العامة في مراجعة المواد بشكل كامل قبل بدء الامتحانات خلال الأيام المقبلة، ونعرض لكم بعض الأسئلة المتوقعة في مادة التفاضل والتكامل، والتي جاءت كالآتي:







أسئلة امتحانات الثانوية العامة في مادة التفاضل والتكامل
يسعى الطلاب في الوقت الحالي لحل أكبر عدد من الأسئلة في مادة التفاضل والتكامل، بالنسبة لشعبة علمي رياضة، حيث يحاول كل طالب الإجابة على عدد من الأسئلة ومراجعتها مع المعلم، للتأكد من الإجابات، حيث تعد هذه الطريقة من الوسائل المطمئنة للطالب في هذه الفترة، ومن الأسئلة المتوقعة لامتحانات الثانوية العامة في التفاضل والتكامل كالتالي:






نماذج امتحانات التفاضل والتكامل في الثانوية العامة (امتحان الرياضيات البحتة)
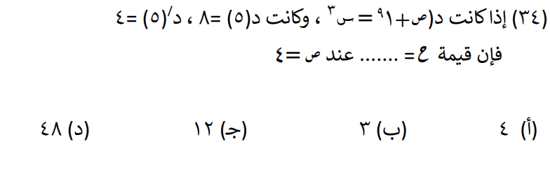
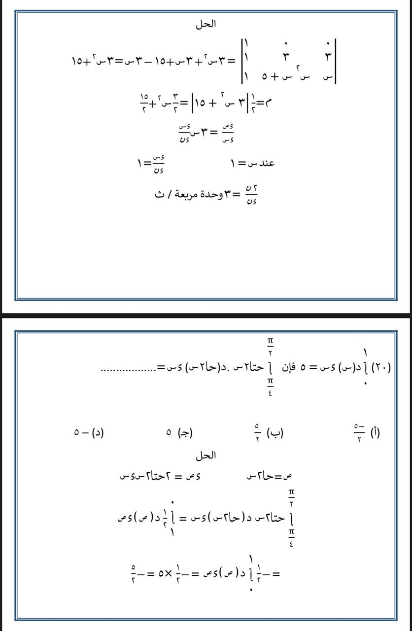
نعرض لكم بعض أسئلة امتحان التفاضل والتكامل في الثانوية العامة، والتي تساعد الطالب في الحصول على الدرجات العالية في امتحانات نهاية العام، والتي جاءت كالتالي:












النماذج الاسترشادية لوزارة التربية والتعليم الصف الثالث الثانوي
يقوم عددا من الطلاب بحل النماذج الاسترشادية التي أتاحتها وزارة التربية والتعليم عبر موقعها الرسمي، لكي تكون فرصة للطلاب في الاطلاع على آخر التغيرات في الورقة الامتحانية، وجاءت النماذج كالآتي:
امتحانات الثانوية العامة 2024
حددت وزارة التربية والتعليم 10 يونيو المقبل ليكون موعد بداية امتحانات الثانوية العامة 2024، فيما جاءت نهاية الامتحانات يوم 20 من يوليو المقبل.
موعد امتحان التفاضل والتكامل 2024 (امتحان الرياضيات البحتة)
يخوض طلاب علمي رياضة امتحان التفاضل والتكامل 2024 يوم السبت الموافق 13 يوليو المقبل، حيث تكون المدة المحددة للمراجعة النهائية وحل الأسئلة لمدة 48 ساعة، قبل خوض الامتحان النهائي.


