قبل ساعات من الامتحان.. أهم الأسئلة المتوقعة في مادة التفاضل والتكامل لطلاب الثانوية العامة 2024
يهتم طلاب الصف الثالث الثانوي شعبة علمي رياضة بالحصول على الأسئلة المتوقعة في مادة التفاضل والتكامل، حيث يعد حل النماذج التدريبية من أهم الوسائل التي يستعين بها الطالب قبل دخول اللجان الامتحانية للعام الدراسي الحالي 2023-2024، إذا ترتكز المواد المتخصصة في شعبة علمي رياضة على التطبيق والتدريب على كل الأسئلة ذات الأفكار المتنوعة.
ومن خلال التقرير التالي، نقدم لكم أسئلة متوقعة في مادة التفاضل والتكامل لطلاب الثانوية العامة 2024، في ظل الطلب المتزايد من قبل الكثير من الطلاب للحصول على أهم الأسئلة التي قد تأتي في الامتحان النهائي، والذي يعد مفصليا، تزامنا مع اقتراب نهاية ماراثون الامتحانات.

الأسئلة المتوقعة في مادة التفاضل والتكامل
ويحل الطلاب العديد من الأسئلة المتوقعة في مادة التفاضل والتكامل، من أجل التعود على شكل الامتحان النهائي، الذي عادة ما يكون مليئا بالأفكار، ما يتطلب حل أسئلة متوقعة في مادة التفاضل والتكامل، وذلك على النحو التالي:








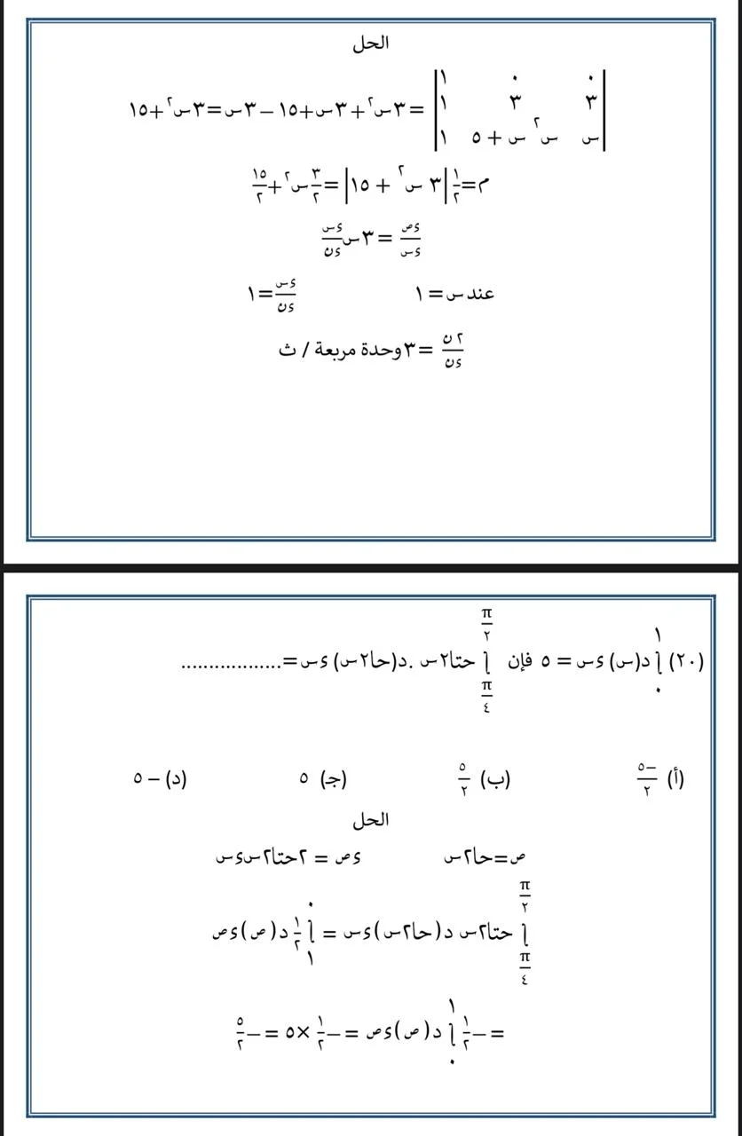
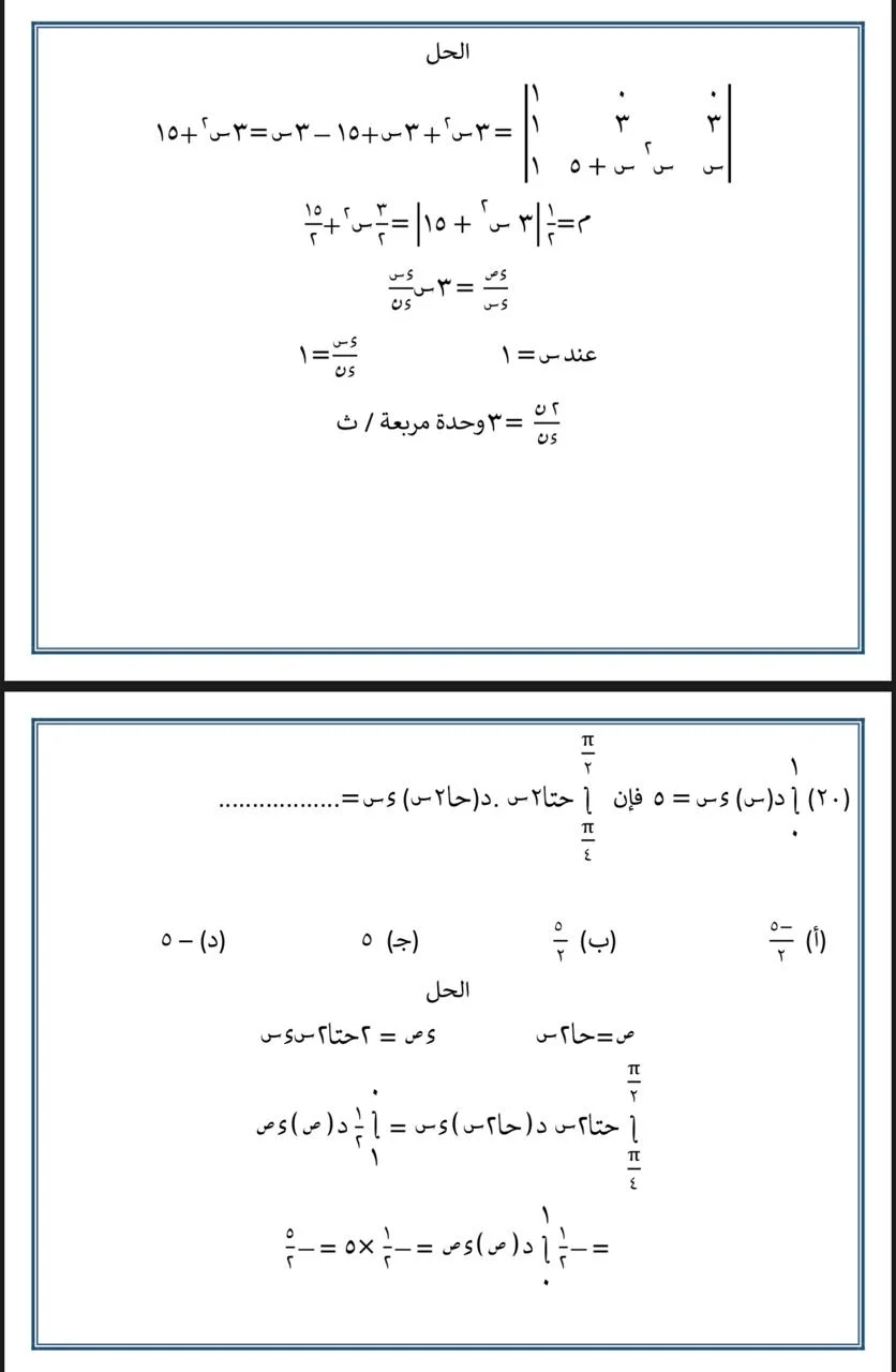
نماذج تدريبية في التفاضل والتكامل 2024
يرى البعض من الطلاب أن حل نماذج تدريبية في التفاضل والتكامل، يساعد في التأهيل بشكل أفضل لحل الامتحان النهائي، الذي ينطلق بعد ساعات، حيث يواصل كل طالب في حل عدد من التدريبات المتكاملة، لكي يكون قادر على دخول الامتحان بثقة كبيرة، نظرا للتدريب الجيد على أفكار هذه المادة، ومن هذه النماذج:








توزيع الدرجات في مادة التفاضل والتكامل
أعلنت وزارة التربية والتعليم توزيع الدرجات في مادة التفاضل والتكامل، والتي جاءت كالتالي:
عدد الأسئلة في مادة التفاضل والتكامل يبلغ 20 سؤالا، وتصل الأسئلة المقالية في امتحان مادة التفاضل والتكامل لـ سؤالين.
وحددت الوزارة المجموع الكلي في مادة التفاضل والتكامل عند 30 درجة، حيث يتضمن عددا من الأسئلة الموضوعية، التي تبلغ 18 سؤالا بمقدار درجات عند 26 درجة.
المواد المتبقية لشعبة علمي رياضة 2024
وجاءت المواد المتبقية لشعبة علمي رياضة 2024 كالتالي:
- التفاضل والتكامل يوم السبت الموافق 13 يوليو 2024
- الإستاتيكا يوم الأربعاء الموافق 17 يوليو 2024.
- الديناميكا يوم السبت الموافق 20 يوليو 2024.


